Budžets
Amatpersonām aprēķinātais atalgojums
Saskaņā ar Valsts pārvaldes iekārtas likuma 92. panta 2. un 3. daļu:
- Iestādes amatpersonām aprēķināto atalgojumu iestāde katru mēnesi publisko savā tīmekļa vietnē, norādot vārdu, uzvārdu, amatu un aprēķināto atalgojumu, ja likums nenosaka citādi. Ministru kabinets nosaka termiņu, cik ilgi amatpersonām aprēķinātais atalgojums ir publiskots iestādes tīmekļa vietnē.
- Informāciju par darba samaksu, kas izmaksāta iestādes darbiniekiem, publisko Valsts un pašvaldību institūciju amatpersonu un darbinieku atlīdzības likumā noteiktajā apjomā un kārtībā.

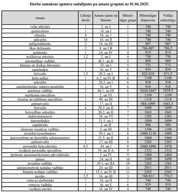
Darba samaksas apmēra sadalījums pa amatu grupām
Amatpersonu (darbinieku) darba samaksas (mēnešalgas, piemaksu, prēmiju) un sociālo garantiju noteikšanas kritēriji
Mēnešalga un tās noteikšanas kritēriji:
Izglītības un zinātnes ministrijas nodarbinātajiem mēnešalgu nosaka saskaņā ar Valsts un pašvaldību institūciju amatpersonu un darbinieku atlīdzības likumu un Ministru kabineta 2022.gada 21.jūnija noteikumiem Nr.361 “Noteikumi par valsts institūciju amatpersonu un darbinieku darba samaksu un tās noteikšanas kārtību, kā arī par profesijām un specifiskajām jomām, kurām piemērojams tirgus koeficients”.
Lai noteiktu nodarbinātā amata mēnešalgu grupu, amatu klasificē atbilstoši Ministru kabineta 2022. gada 26. aprīļa noteikumiem Nr. 262 "Valsts un pašvaldību institūciju amatu katalogs, amatu klasifikācijas un amatu apraksta izstrādāšanas kārtība" un nosaka amata saimi (apakšsaimi) un līmeni.
Lai noteiktu individuālo mēnešalgu, ņem vērā nodarbinātā kvalifikācijas un kompetences, darba snieguma līmeni un regulāro darba apjomu – Ministru kabineta 2022. gada 21. jūnija noteikumi Nr. 361 "Noteikumi par valsts institūciju amatpersonu un darbinieku darba samaksu un tās noteikšanas kārtību, kā arī par profesijām un specifiskajām jomām, kurām piemērojams tirgus koeficients" un pieejamo finansējumu.
Mēnešalgas skaitliskais lielums tiek noteikts Valsts un pašvaldību institūciju amatpersonu atlīdzības likuma 3. pielikumā attiecīgajai mēnešalgu grupai paredzētā mēnešalgas intervāla ietvaros – koeficientu reizinot ar bāzes algu.


























